Multi-scale Simulations of Accretion Onto Sgr A* via Stellar Winds

  • *Labaj, M., Ressler, S. M., Zajaček, M., Plšek, T., Ripperda, B., & Peißker, F., L., Compact stellar systems hosting an intermediate mass black hole: magnetohydrodynamic study of inflow-outflow dynamics, A&A 702, A233 (2025). (arXiv, ads)
  • *Solanki, S., Ressler, S. M., Murchikova, L., Stone, J. M., & Morris, M. R. The Inner 2 pc of Sagittarius A*: Simulations of the Circumnuclear Disk and Multiphase Gas Accretion in the Galactic Center, ApJ 955, 22 (2023). (arXiv, ads)
  • Ressler, S. M., White, C. J., & Quataert, E. M., Wind-Fed GRMHD Simulations of Sagittarius A*: Tilt and Alignment of Jets and Accretion Discs, Electron Thermodynamics, and Multi-Scale Modeling of the Rotation Measure, MNRAS 521, 4277–4298 (2023). (arXiv, ads)
  • Murchikova, L., White, C. J., & Ressler, S. M. Remarkable Correspondence of Sagittarius A* Submillimeter Variability with a Stellar-Wind-fed Accretion Flow Model, ApJL 932, L21 (2022). (arXiv, ads)
  • Ressler, S. M., White, C. J., Quataert, E., & Stone, J. M. Ab Initio Horizon-Scale Simulations of Magnetically Arrested Accretion in Sagittarius A* Fed by Stellar Winds, ApJL 896, L6–L17 (2020). (arXiv, ads)
  • Ressler, S. M., Quataert, E., & Stone, J. M. The Surprisingly Small Impact of Magnetic Fields on the Inner Accretion Flow of Sagittarius A* Fueled by Stellar Winds, MNRAS 492, 3272–3293 (2020). (arXiv, ads)
  • Ressler, S. M., Quataert, E., & Stone, J. M. Accretion of Magnetized Stellar Winds in the Galactic Centre: Implications for Sgr A* and PSR J1745-2900 MNRAS 482, L123-L128 (2019). (arXiv, ads)
  • Ressler, S. M., Quataert, E., & Stone, J. M. Hydrodynamic Simulations of the Inner Accretion Flow of Sagittarius A* Fueled By Stellar Winds MNRAS 478, 3544-3563 (2018). (arXiv, ads)

Sagittarius A* (Sgr A*), the supermassive black hole at the center of our galaxy, presents a unique laboratory to study low-luminosity black hole accretion. This is because the source of accretion is believed to be known, namely, the winds of ~30 Wolf-Rayet stars orbiting within about a parsec from the black hole. Since the wind speeds, mass-loss rates, and orbits of these stars (in addition to the mass and distance to Sgr A*) are well-constrained observationally, one could imagine performing a first principles simulation of the entire dynamic range of accretion, tracking the gas provided by the winds all the way down to the event horizon of the black hole. Such a simulation would be highly predictive, with little free parameters or assumptions, and would shed much light on many of the unsolved problems surrounding the emission from the galactic center. Unfortunately, in practice, such a simulation is computationally infeasible with the current generation of computers. Instead, we do the next best thing: simulate the large scale accretion sourced by the Wolf-Rayet stars as far in as we can go and then use the results of that simulation to provide boundary/initial conditions for general relativistic magneto-hydrodynamic simulations of the regions closest to the event horizon.

3Dstars

Non-Magnetized Winds


rho_stars rho_stars
2D-slices in density and temperature of a three dimensional hydrodynamic simulation of accretion onto Sgr A* as provided by the winds of the ∼ 30 Wolf-Rayet stars. The stars in our simulation act as sources of mass, momentum, and energy. Their cold, dense winds interact and quickly shock-heat to high temperatures that light up in X-rays. Most of the material is unbound and outflowing; only a small fraction accretes on the central black hole. The latter material we track all the way down to ∼ 300 gravitational radii.
stream disk
At much smaller radii, we find that the flow is comprised of two distinct components: 1) A low angular momentum, bound, Bondi-type flow that flows radially inwards along the poles and 2) a nearly Keplerian, unbound, thick "disk" of material that is slowly outflowing. This structure differs from the most commonly used initial conditions for GRMHD simulations used to model Sgr A* and could have interesting consequences.

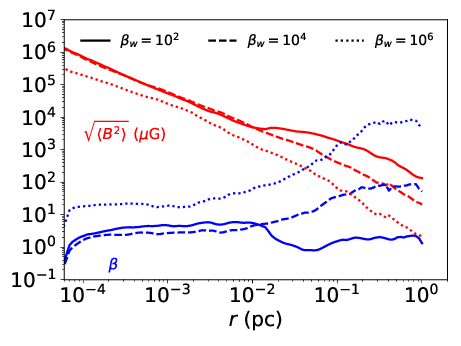
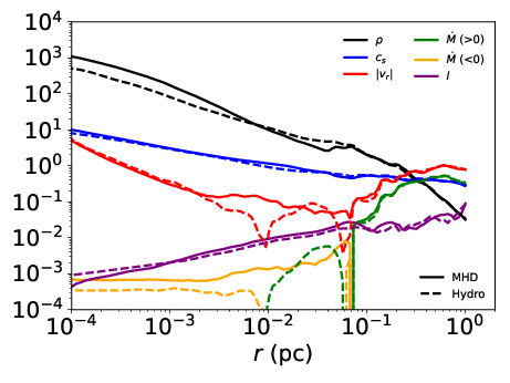
Magnetized Winds


mhd_comp beta_comp
Left: comparison of angle-averaged quantities in MHD and hydro simulations. Right: magnetic field strength and plasma beta for different wind magnetizations. The effects of magnetic fields are surprisingly small even though the magnetic field reaches equipartition in all MHD simulations. This is because the flow is dominated by inflow/outflow streams that do not circularlize. The magnetic fields thus provide only an order-unity correction to the dynamics.
mdot_contour mdot_contour
Left: contours of time-averaged accretion rate with velocity streamlines for different wind magnetizations compared with hydro. The primary effect of magnetic fields is to produce a bound, inflowing midplane, compared with hydro simulations where the polar regions are inflowing and the midplane is outflowing. Right: Time-series of accretion in the midplane (defined with respect to the time-averaged angular momentum direction) in one MHD simulation. Accretion is dominated by a single stellar wind, which creates a bound spiral stream.

Horizon-Scale GRMHD Simulations


domain_schematic time_plots
Left: schematic of how we obtain initial conditions for GRMHD simulations from the larger-scale MHD simulations. We first run an intermediate simulation that takes input from the stellar wind simulation and then use that simulation as initial data for the GRMHD simulation. Right: The resulting accretion rate and dimensionless flux threading the event horizon. This accretion rate is consistent with observational constraints on Sgr A* without any free parameters. The flow naturally develops into a magnetically arrested disk (MAD) state, as evidenced by the saturation of the magnetic flux. This is the first time that it has been shown that the MAD state is a realistic outcome for supermassive black holes.
EHT_blurred EHT_blurred
Resulting 230 GHz images with polarization vectors, blurred to the Event Horizon Telescope resolution. Different realizations of the flow lead to either edge-on (left) or face-on (right) images.