The First Simulations of MRI-Driven Decretion Disks Around Rapidly Rotating Be Stars

  • Ressler, S. M. 3D MHD Simulation of a Pulsationally-Driven MRI Decretion Disc MNRAS 508, 4887-4901 (2021). (arXiv, ads)

While most stars display only absorption lines because their temperature decreases with radius, Be stars display strong emission lines. The leading explanation for this feature is that they are surrounded by a disk of gas that can absorb and re-emit the light from the photosphere. Since Be stars are also observed to be rotating at a significant fraction of breakup, this disk is believed to be moving outward, a so-called decretion disk. Several mechanisms have been proposed to explain how these disks form from stellar material, but simulations had previously failed to reproduce the near-Keplerian disks required to explain observations. One promising model that had not yet been simulated proposed that the non-radial pulsations (NRPs) known to occur on the surface of the star could boost the gas to super-Keplerian speeds, causing it to move outwards. Some form of viscosity would then continue to transport angular momentum from the surface of the star to drive a continuous disk. With the ultimate goal of studying Be/neutron star X-ray binaries, I performed the first simulation to demonstrate that the NRP model naturally produces a near-Keplerian decretion disk mediated by the magnetorotational instability (MRI) as long as the surface of the star is seeded by a weak magnetic field.

image
L_cool
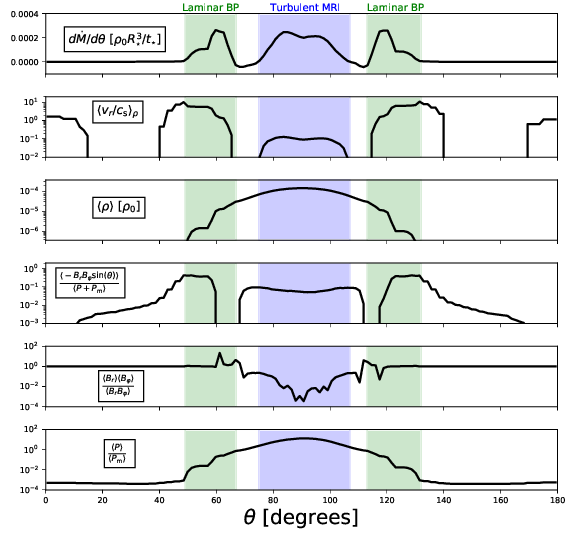
Time- and azimuthally-averaged quantities at five times the radius of the star. The flow is divided into two distinct regions: a slowly decreting midplane driven by high–plasma-beta MRI turbulence, and a low–plasma-beta fast wind driven by the Blandford & Payne process.